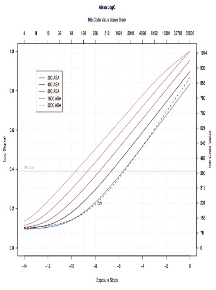
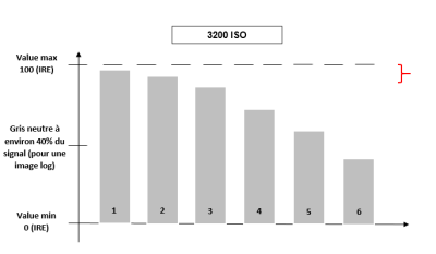
Les ISO en vidéo : le guide complet !!
Discussion in 'Tutos' started by GRG, May 10, 2020.
Tags:
◄ Voir l'article
Loading...
- Similar Threads - ISO vidéo guide
-
- Replies:
- 64
- Views:
- 3,714
-
[VotreAvis] Test ISO Nikon ZR
- Replies:
- 29
- Views:
- 964
-
- Replies:
- 5
- Views:
- 274
-
- Replies:
- 95
- Views:
- 5,405
-
- Replies:
- 41
- Views:
- 2,152














